时间:2025-09-25 浏览:次
假设我们把一台水泵扔进鱼塘里抽水,水泵出口接出一根管子出来。如果提高水泵的功率,管子出来的水会喷得更远,同时出水的流量也更多。于是我们很容易地凭直觉得出这样一个结论:管路中的流量和压力具有一定的相关性。
图 1 提高泵的功率,喷出的水会更远,流量也越大
然而在实际的工业生产中,如果我们只知道一根走水的管子直径是DN50,其内部压力是1MPa,那么我们不会有任何办法能够计算出管内的流速和流量。为什么会存在如此反直觉的情况呢?

图 2 已知管径和压力是无法算出流量的
我们可以先进行一个简单的思想实验,为了方便理解我们先用比较好压缩的气体举例。假设我们手中有一个充满空气的密闭注射器,当我们不对活塞施加任何作用力时,注射器内的气压就等于外界的大气压,这很好理解,内外气压平衡嘛。从微观角度来看,注射器内的气压是其中的气体分子在不停地热运动并不断“撞击”针筒内壁形成的“合力”的结果。

图 3 用力按压密闭的注射器,内部气体压力升高,但流量依旧是0
假如我们用力按压活塞,使得注射器内的气体被压缩一定的体积,显然气体的压力也会升高。但注意,当我们完成压缩过程后,注射器内的气体依旧保持静止,也就是压力升高了但流量依旧为0。这样我们就能直观地理解为什么管路中压力和流量这两个参数可以没有丝毫的联系。聪明的朋友一定也能发现,此例中将空气换成其他气体或液体也丝毫不影响结论。
那么问题就来到了,为什么文章开头提到的现象会让我们产生压力和流量有关的这样一种直觉呢?其根源在于把管路出口处的流速u2和管内压力P1的关系,误认为是管内流量Q1和管内压力P1的关系了。水柱喷出后的运动和物理课上小球的抛物运动并没有本质区别,水柱喷得远不是因为水的压力高,而是因为水的流速快。当你稍微捏紧管口,也就是缩小管径的时候,水同样会喷得更远、打在人身上也更疼,这正是流速增大的效果。

图 4 稍微捏住管口,水流速加快,喷得更远
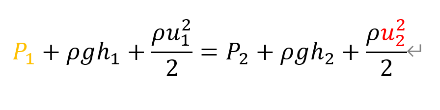
管路出口处的流速u2与管内压力P1确实存在关系,根据伯努利方程(同时也是理想流体运动过程中机械能守恒的体现):


图 5 水喷出水平管路的过程
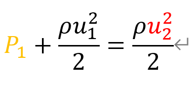
假如管道的是水平的,则h1=h2,而管路出口处的表压P2=0,式子就变成:

很容易看出管内压力P1越大,管路出口处的流速u2也越大,这确实是符合直觉的。
然而回到实际的工业生产中,我们就会发现以上公式推导基本没用——因为你没有出口嘛!所以光知道一截不知通往何处的管路的管径和压力,是无法算出管内的流速或流量的。

图 6 孔板流量计的工作原理
要构建管内压力和流量的关系,需要对管内的流体施加一个特定的影响。比如在管内安装一个节流孔板,配合差压变送器组成一套孔板流量计;或者迎着来流方向开孔,同时测量流体的动压和静压值,形成一台“巴”式流量计(毕托巴、阿牛巴等)。关于这两种利用管内压力来测量流量的方法,就留着不知道何时更新的下期再讲吧!